Поступление в СУНЦ УРФУ 2019, 2020, 2021, 2022, 2023, 2024, 2025

А У кого дети с курсов ЕГЭБУРГ, там подготовка лучше?

Аноним 331: А У кого дети с курсов ЕГЭБУРГ, там подготовка лучше?

Ой что вы там же НАТАСКИВАЮТ

Да точно так же как и на курсах в сунц учат, только часов в несколько раз больше (ну и цена соответственно). Сначала проходят всю программу, потом решают ВИ прошлых лет. Всё, ничего сакрального. По сути это будет вторая школа для ребенка. Но это не гарантия поступления. Поступают и после курсов сунца, после егэбурга и после самостоятельной подготовки. А кто-то вообще просто приходит без подготовки и отлично сдает ВИ.

Но! Прежде чем отправить ребенка на любые курсы убедитесь, что ему это реально надо. Т.к. в телефонах сидят и в сунце и в егэбурге. А потом родители пишут, что «курсы фигня». Ну конечно фигня, если ребенок не занимался.

Apple1981, Согласна с вами, мы и выбор делали на основании предпочтений ребёнка. Будем ждать результаты.

Мы ребёночка подтолкнули на физмат, хотела с подругой, а та на гум. Ну мы с отцом плохого не посоветуем 🤣 отправили на курсы воскресные на Гоголя, ФМ. В результате влюбилась в физику, говорит- лучший преподаватель, поступала нынче в 8, физику решила всю, про правильность, конечно , узнаем позже. А вот математику не очень, на курсах решали, давали задания, но разборов особо не было, поэтому кто что не решил- так и осталось непознанным 🥴 дома прорешали вступительные за все годы со средним баллом +-40, а на экзаменах решила только половину, выходили ребята со словами- нас этому не учили 😂 Но я за курсы однозначно, наша сама бы точно не нарешала столько, очень жалко, что поздно включилась (до января курсы "посещала", но потом какая-то кнопочка включилась) Поэтому если не поступит, то отправлю дальше на курсы повышения квалификации 😁
Ps а что такое седьмая параллель?🤔

Трифена: отправили на курсы воскресные на Гоголя, ФМ. В результате влюбилась в физику

Планирую на следующий учебный год младшую дочь на курсы ФМ, подскажите, пожалуйста, преподавателей кто вел занятия?

Трифена: что такое седьмая параллель?

Семиклассники

Дочь отстрелялась, написала вчера математику, сегодня химию.
Смешанные чувства))) ждём результаты.

9ФМ - как сегодня физику оценивают дети?

Аноним 600,
Подскажите, как химия? Соответствует программе?

Tigrа: это 8й класс прошлый год

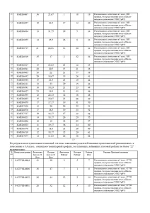
Это не итоговый протокол за прошлый год. После апелляции изменился порядок (у сына поменялся рейтинг, поэтому точно знаю), и взяли 19 детей

Прошлогоднее решение приёмной комиссии по всем профилям 8-х классов.

Аноним 598: Подскажите, как химия? Соответствует программе?

Дочь сказала, что соответствует, средней сложности, не решила 1 задачу.

wormwood,

есть такое на 10е классы?

Apple1981,

Согласна) Ранее слышала, что уже лет 5 нет детей, кто набирает максимум 50 баллов по физике при поступлении в 8 класс (без учёта олимпиад). В этом же потоке уже около 7 детей (от кого слышала), сказали, что задания по физике им показались несложными, решили все. Интересно будет посмотреть результаты)

Да, много сильных семиклассников нынче, но мне кажется, что многие из них на матинф все -таки претендуют.

Аноним 85: многие из них на матинф все -таки претендуют

Вот и славно 😂

Аноним 600: подскажите, пожалуйста, преподавателей кто вел занятия

Физику вел Андрей Никоноров (ребенок вот так сказал 🤷)

Мой ребенок поступает в 9фм, говорит что все было средней сложности. Физики решил меньше чем математики, на курсы не ходил.

Hel2010,
Как готовились к поступлению?
Сын тоже на курсы не ходил.

Срочно,
Не готовились, посмотрел только последний год разборы.
Но у нас не цель поступление, больше срез знаний.

Tigrа: В наш фм тоже в итоге взяли больше, чем заявляли

Не больше взяли, выше списки выложили - 24 человека были рекомендованы, учатся сейчас 23. Другое дело, что часть из рекомендованных не стала из 9ки переходить и взяли тех, кто ниже по списку, но до заявленных 23 человек.

Tigrа: А набор был объявлен на 20

Может быть... Забылось уже. Ну и как то было понятно, что возьмут 23-24 человека, т.к. всегда такой физ-мат набирали. Видимо, запас на одинаковый рейтинг закладывали.

Вы не авторизованы и не можете оставлять сообщения. Чтобы авторизоваться, нажмите на эту ссылку (после входа Вы вернетесь на эту же страницу).

Все разделы