Поступление в СУНЦ УРФУ 2019, 2020, 2021, 2022, 2023, 2024, 2025

Аноним 19: Никогда на курсах не решают задания подобные, экзамену

Курсы для того и делаются- для подготовки, разве нет ? Зачем они тогда вообще нужны ? Идентичные задания - ясно что никто не требует , а вот то что подобное не решали - впервые сталкиваюсь с таким. Знала бы - не возила в эту тьму таракань , время бы не тратила
А может и сын вполуха слушал , не знаю

жесть в начале года решили не брать курсы,кто то да «да»,кто то за «нет». теперь думаю хорошо что не взяли. всем удачи, кто уже сдал, надеюсь, труды не напрасны

Artemisia: было большинство заданий, которые они даже близко не решали на курсах

Artemisia: Курсы для того и делаются- для подготовки, разве нет ?

Вы путаете подготовку и натаскивание и совсем не понимаете, что такое СУНЦ. СУНЦ никогда не занимался и не будет заниматься натаскиванием на задания определенного типа (это не только курсов касается, но и ОГЭ и ЕГЭ, например). СУНЦ учит думать, развивает мышление — вот залог успешного решения нестандартных заданий в любом предмете. Как говорится в известной притче, СУНЦ дает удочку, а не рыбу.

Artemisia,

Сын рассказывал, что на курсах половина в телефонах сидели… контрольные же проводили, там оценки были показательные - всего несколько 5.

Сунц выкладывает каждый год реальные задания экзамена и, поняв как их решать, ребенок сможет достойно написать экзамен. Ну и большой плюс, что здесь складываются рейтинги по предметам, а не баллы, соответственно, проходят дети, которые сильны в обоих сдаваемых предметах, а не в каком то одном.

Ikrina,

подскажите, как вообще проводятся курсы. знаю,что раз в неделю, как уроки?

Аноним 804,

Это как будто рандомно происходит, не знаешь чего ждать…

Аноним 598,

Мы по математике на воскресные ходили на Гоголя, 2,15 шли. Узнал много нового. До этого 2 года ОЗШ. Результаты узнаем позже, но не все смог решить.

Аноним 598: теперь думаю хорошо что не взяли. всем удачи, кто уже сдал, надеюсь, труды не напрасны

Дочь не жалеет, что ходила на курсы.
Очень понравилась химия, и опыты проводили и много всего узнала, и учительница химии понравилась.

Подскажите, пожалуйста, примерно какой был общий проходной балл в прошлом году на матинф? Очень большой конкурс...
По поводу курсов: я сама позанималась с сыном на последнем дистанционном занятии по математике и мне очень понравилось: разбирали вариант ВИ за прошлый год, преподаватель объяснял, если непонятно как решать. Думаю, если бы сын внимательно слушал и занимался в течение года на курсах, результат был бы достойным.
Информатика - тоже дистанционное занятие - от слова никак. Два часа с лишним ребята самостоятельно решали, а потом быстро продиктовали ответы и всё, никакого разбора, никаких объяснений. Если и на курсах задания проходили в таком же формате, то особого толку от них нет.

Аноним 980: проходной балл в прошлом году на матинф?

Какой класс?

Аноним 739,
Меня интересует проходной балл в 8 класс.

Аноним 980,
9 класс только сохранился

Аноним 980,
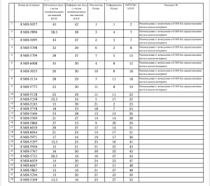
Есть за 2023 год,8 класс

Хорошо, в 9-й какой был на матинф?

Аноним 739,
Спасибо. В 2023 набрали 9 человек, в этом чуть больше - 13.
Я уже пожалела, что сын пошёл на матинф. На физмат конкурс в два раза почти меньше.

Аноним 980,

В текущий 8МИ конкурс 9,6 чел/место. На 8ФМ 7,2 чел/место. Меньше, но не в два раза.

Аноним 653,
Я имела в виду, что набирают почти в два раза больше человек на физмат по сравнению с матинфом, соответственно шансы поступить тоже увеличиваются. И если готовиться, то на физмат реально поступить. А вот на матинф, как у меня сын сказал, смогут поступить только гении.

Аноним 980: вот на матинф, как у меня сын сказал, смогут поступить только гении.

Конечно нет. Пройдут те, кто готовился сдавать такой формат. Ничего гениального в заданиях по инфе не было.

Аноним 980: соответственно шансы поступить тоже увеличиваются. И

Вы просто не знаете, кто сдавал в Фм)) Поверьте, реально вакантных мест там меньше. Очень сильная седьмая параллель эта. И доп баллы есть у ребят

Аноним 980: Я уже пожалела, что сын пошёл на матинф

Идти правильнее всё-таки туда, куда душа зовёт. Какой профиль ребёнку ближе. А не где конкурс меньше.
Если просто лишь бы СУНЦ, то тогда.. Сложно наверное будет потом.

Вы не авторизованы и не можете оставлять сообщения. Чтобы авторизоваться, нажмите на эту ссылку (после входа Вы вернетесь на эту же страницу).

Все разделы